Saraca asoca: A scoping review on the phytoconstituents, bioactives and their therapeutic effects
DOI:
https://doi.org/10.5530/gjpb.2022.3.11Keywords:
Saraca asoca, plant extracts, herbal medicine, pharmacognostic featuresAbstract
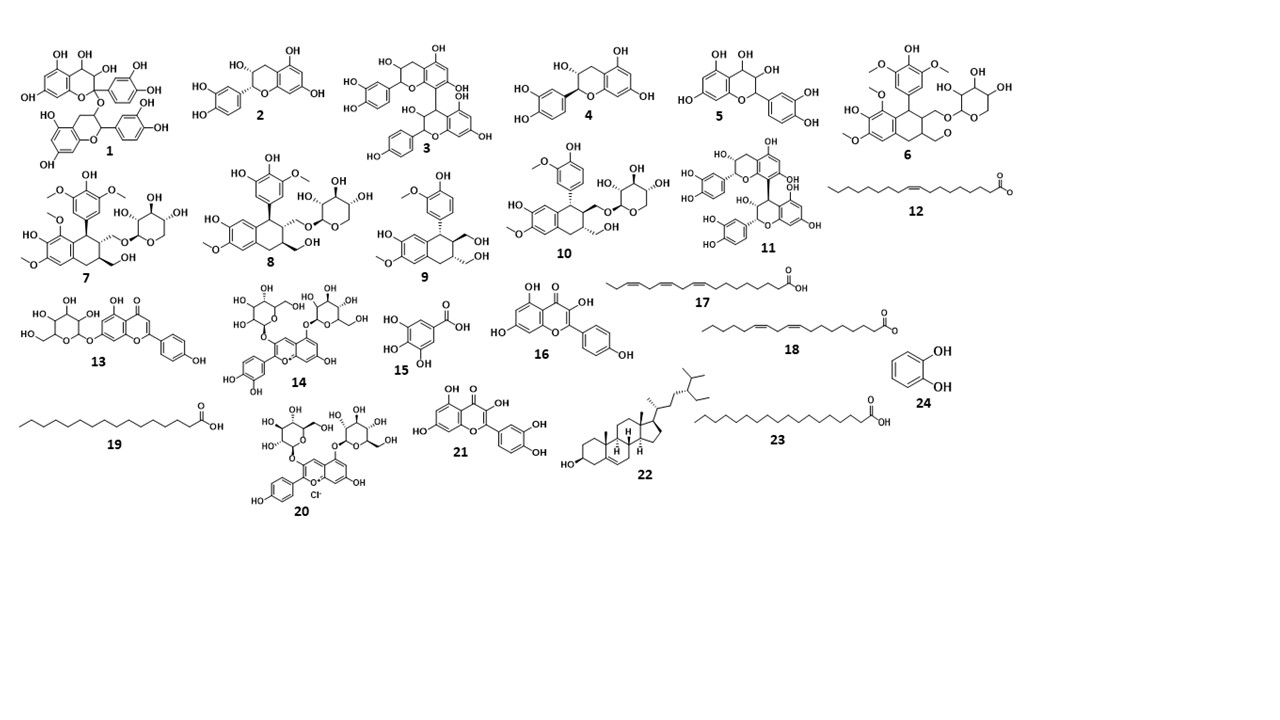
Saraca asoca or S. asoca, belonging to the family Caesalpinaceae, is popularly known as Ashoka and is a valuable indigenous plant of traditional and pharmacological significance. With a growing number of people seeking treatments and health practices devoid of synthetic medicines' adverse effects, medicinal herbs are becoming more mainstream. Ashoka has traditionally been employed to treat dysentery, colic, piles, biliousness, dyspepsia, and ulcers and is also known to display CNS depressant activity and regulate irregular menstrual cycles. The qualitative phytoconstituents of Ashoka's leaves, flowers, fruits, and bark, such as glycosides, flavonoids, tannins, and saponins, carry vast potential in therapeutic and diagnostic techniques. Formulations containing these components can efficiently exert anti-microbial, anti-inflammatory, anti-menorrhagia, anti-diabetic, anthelmintic, and analgesic activity. This review focuses on research associated with the medicinal qualities, phytochemistry, and pharmacological profile of Saraca asoca (Roxb.), De. wild.
Metrics

Downloads
Published
How to Cite
Issue
Section
License
Copyright (c) 2022 Sahil Salvi, Ryan Varghese, Gargi Digholkar, Abha Deshpande, Chinmay Malvankar, Atmaram Pawar, Dileep Kumar

This work is licensed under a Creative Commons Attribution 4.0 International License.